M Ln Trong Hoa Hc La Gi

Chi Tiết Cong Thức Hoa Học Lớp 8 Lớp 9 Cơ Bản đến Nang Cao
.jpg)
Bảng Nguyen Tử Khối Hoa Học Va Những điều Cần Biết

17 Cau Chuyện Hoa Học Hai Hước Hoa Học Toan Tập

Hiệu Suất La Gi Cong Thức Tinh Hiệu Suất Phản ứng Chuẩn 100

Tinh Chất Hoa Học Của Flo F Brom Br Iot Bai Tập Về Flo Brom Iot Hoa 10 Bai 25

Bảng Tuần Hoan Hoa Học Va Mẹo Nhớ Lau Học Nhanh Nhớ Lau


Pdf Cơ Sở Hoa Học Hữu Cơ Của Thuốc Hoa Dược
Bai Tập Tổng Hợp Vận Dụng Cong Thức N M M V V 22 4 Co đap An

Bảng Tuần Hoan Cac Nguyen Tố Hoa Học

Thầy Dũng Hoa
Bai Tập Tổng Hợp Vận Dụng Cong Thức N M M V V 22 4 Co đap An
Http Files Pthcmute Webnode Vn D7d2dd8d0c Cong thuc hoa 1 Pdf

4 Dạng Bai Tập Học Sinh Thường Gặp Chuyen đề Nồng độ Phần Trăm Va Nồng độ Mol

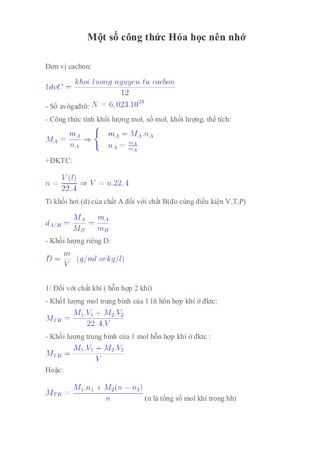
Một Số Cong Thức Hoa Học Nen Nhớ

Phản ứng Oxi Hoa Khử điện Hoa Học

Doc Hoa Ly Ly Thuyết Bai Tập Lời Giải Trầm Kỳ Academia Edu

Bảng Tuần Hoan Cac Nguyen Tố Hoa Học Kiến Thức Wiki Fandom

Nguyen Tố Hoa Học La Gi Những đặc điểm Của Nguyen Tố Hoa Học

Quy Tac Duong Cheo

Mẹo Ghi Nhớ Bảng Tuần Hoan Hoa Học 10

Ky Hiệu M D N Z P Iso C Trong Hoa Học La Gi

Cong Thức Tinh Hiệu Suất Của Phản ứng Hoa Học Hoaphuongdo Vn

Bảng Tuần Hoan Cac Nguyen Tố Hoa Học Kiến Thức Wiki Fandom

Tất Cả Những Cong Thức Hoa Học Lớp 8 Trung Tam Gia Sư Tri Tuệ Việt Trung Tam Gia Sư Tri Tuệ Việt

Từ điển Chất Hoa Học

Một Số Cong Thức Hoa Học Nen Nhớ
Hsg 12 Gia Lai Ngay 13 12 19 Docx

Hệ Thống Kiến Thức Lớp 12 Mon Hoa Cần Nhớ Khi Thi Thpt Quốc Gia 19

Bai Tập Tổng Hợp Vận Dụng Cong Thức N M M V V 22 4 Co đap An

Cong Thức Tinh Hiệu Suất Của Phản ứng Hoa Học Hoaphuongdo Vn

Cac Cong Thức Hoa Học Lớp 11 Giup Giải Nhanh Toan Hiđrocabon

Tất Tần Tật Mọi Thong Tin Cần Biết Về đơn Vị Pmo Va Ppm La Gi

Phần 2 Tuyển Tập 35 Cong Thức Giải Nhanh Bai Tập Hoa Học Vo Cơ Me

100 Lỗi Sai Hoa Học Ai Cũng Gặp Le đăng Khương

Nội Dung Trọng Tam Toan Lớp 3 Bảng đơn Vị đo độ Dai

M Trong Hoa Học La Gi Cach Tinh Khối Lượng M Như Thế Nao Nhịp Sống Thời đại

Bảng Tuần Hoan Hoa Học Va Mẹo Nhớ Lau Học Nhanh Nhớ Lau

Bảng Tuần Hoan Cac Nguyen Tố Hoa Học Kiến Thức Wiki Fandom

Pdf Chương 5 Dung Dịch Lưu Trinh Academia Edu

Thầy Dũng Hoa

Viện Kiểm định Quốc Gia Vắc Xin Va Sinh Phẩm Y Tế

Cac Kĩ Thuật Sắc Ki Trong Hoa Học Phan Tich Hiện đại Nhom Sinh Vien Huế Thực Hiện By Dạy Kem Quy Nhơn Official Issuu

Bồi Dưỡng Học Sinh Giỏi Hoa Học 10 Nguyen Tử Bảng Hệ Thống Tuần Hoan Va Lien Kết Hoa Học By Dạy Kem Quy Nhơn Official Issuu

Tinh Chất Hoa Học Của Clo Cl Vi Dụ Va Bai Tập Về Clo Hoa Lớp 9

Kết Quả Tim Kiếm Học Trực Tuyến

Bảng Tuần Hoan Hoa Học Mới Nhất Cach Dung Va Ghi Nhớ

Nguyen Tố Hoa Học Bảng Ky Hiệu Nguyen Tử Khối Va Bai Tập Hoa 8 Bai 5

Bai Tập Hoa Phan Tich Bậc đại Học Co Lời Giải Dung On Thi Học Phần By Dạy Kem Quy Nhơn Official Issuu

Hiệu Suất La Gi Cong Thức Tinh Hiệu Suất Phản ứng Chuẩn 100

Ky Hiệu M D N Z P Iso C Trong Hoa Học La Gi

Bảng Nguyen Tử Khối Hoa đầy đủ Va Mẹo Học Thuộc Nguyen Tử Khối Bằng Thơ Mtrend Việt Nam

Y Nghĩa Của Bảng Tuần Hoan Nguyen Tố Hoa Học đầy đủ Nhất

Cong Thức Tinh Hiệu Suất Phản ứng Hoa Học Phương Phap Tinh Nhanh Hiệu Suất Vndoc Com

Chuong 3 5

đại Cương Về Dược động Học

He Thong Kien Thuc Hoa Hoc Lop 10 Chuong Trinh Coban Va Nang Cao Lu

Kết Quả Tim Kiếm Học Trực Tuyến
Axit La Gi Tinh Chất Hoa Học Va ứng Dụng Quan Trọng Trong Cuộc Sống

Bảng Tuần Hoan Hoa Học Va Mẹo Nhớ Lau Học Nhanh Nhớ Lau

M Trong Hoa Học La Gi Cach Tinh Khối Lượng M Như Thế Nao Nhịp Sống Thời đại

Bai Tập Cong Cơ Học Cong Suất Bảo Toan Cong Toan Học Vật Ly Hoa Học Phổ Thong

Cach Tinh Phan Tử Khối

4 Dạng Bai Tập Học Sinh Thường Gặp Chuyen đề Nồng độ Phần Trăm Va Nồng độ Mol

Số Nguyen Tố Wikipedia Tiếng Việt

Ghim Tren Giầy Dep

Hợp Chất A được Tạo Thanh Từ Ion M Va Ion X2 Tổng Số 3 Loại Hạt Trong A La 140 Tổng Số Hạt Mang điện Trong Ion M Lớn Hơn Số

Kết Quả Tim Kiếm Học Trực Tuyến

Cong Thức Tinh Hiệu Suất Phản ứng Hoa Học Phương Phap Tinh Nhanh Hiệu Suất Vndoc Com

Cach đọc Ten Cac Hợp Chất Hoa Học Vo Cơ Va Hữu Cơ

Bảng Nguyen Tử Khối Hoa đầy đủ Va Mẹo Học Thuộc Nguyen Tử Khối Bằng Thơ Mtrend Việt Nam

đồng Vị Nguyen Tử Khối Va Nguyen Tử Khối Trung Binh Co Bai Tập Ap Dụng

điều Gi Lam Ortho Meta Va Para Trung Binh Trong Hoa Học Hữu Cơ

4 Dạng Bai Tập Học Sinh Thường Gặp Chuyen đề Nồng độ Phần Trăm Va Nồng độ Mol

Thầy Dũng Hoa

Bai Tập Hoa Học Thực Tiễn Phần Vo Cơ 123 Trang

Bảng Tuần Hoan Wikipedia Tiếng Việt

Khối Lượng Rieng La Gi Ki Hiệu Va Cong Thức Tinh

Bai Tập Trắc Nghiệm Hoa Học Lớp 8 Chương I Cau Hỏi Trắc Nghiệm Lớp 8 Mon Hoa Học

Ky Hiệu Hoa Học Ten Viết Tắt Mg D N Z P Iso C Trong Bảng Tuần H

Mẹo Ghi Nhớ Bảng Tuần Hoan Hoa Học 10
Nguyen Tố Hoa Học Wikipedia Tiếng Việt

Phương Phap Khối Phổ Wikipedia Tiếng Việt

Củng Cố Kiến Thức

Nguyen Tử Wikipedia Tiếng Việt

Pdf Vl1 Tổng Hợp Cong Thức Va Giải Một Số Bai Tập Chương 4 5 Tri Trừ Mai Academia Edu

Bai Tap Hoa Ly Full By Duyen Issuu

Viện Kiểm định Quốc Gia Vắc Xin Va Sinh Phẩm Y Tế

Sự Khac Biệt Giữa Molality Va Nồng độ Mol Is It M Hay M

Tất Cả Những Cong Thức Hoa Học Lớp 8 Trung Tam Gia Sư Tri Tuệ Việt Trung Tam Gia Sư Tri Tuệ Việt
Bai 5 Glucozơ Mon Hoa Học Lớp 12 đề Thi Việt Diễn đan Tai Liệu Học Tập Lớp Nhất Việt Nam

ăn Mon điện Hoa ăn Mon Hoa Học La Gi

Tinh Nồng độ Dung Dịch Wikihow

Luyện Giải Nhanh Bộ đề Kiểm Tra định Kỳ Hoa Học 8 Tập 1 Lazada Vn

Tinh Chất Hoa Học Va Cong Thức Cấu Tạo Của Ancol Hoa 11 Bai 40

Axit Nitric Hno3 La Gi Tinh Chất Hoa Học Va ứng Dụng Acid Nitric
Pp Số Mol Trung Binh Va Xac định Khoảng Số Mol

Bai 1 68 Trang 13 Sach Bai Tập Sbt Hoa Học 10 Nang Cao

Hiệu Suất La Gi Cong Thức Tinh Hiệu Suất Tin Tức

Day điện Hoa Của Kim Loại đầy đủ Va Cach Nhớ Day điện Hoa Kim Loại

Bảng Tuần Hoan Hoa Học Co Them 4 Nguyen Tố Mới Chu Kỳ 7 đa được Lấp đầy Khoahoc Tv